VW-T5 mit Absetzkabine zu verkaufen

Hier könnt ihr eure Teile verkaufen (mit Preisangabe!)
Angebote nur von Privatpersonen!
Antworten
Wolfgangchenchen
Beiträge: 1
Registriert: 16. Februar 2026, 17:57
Postleitzahl: 76646
Land: Deutschland
Vorname: Wolfgang
welche Wohnkabine: Mabu
Basisfahrzeug: VW-T5 Doppelkabine

VW-T5 mit Absetzkabine zu verkaufen

Beitrag von Wolfgangchenchen »

Hallo,
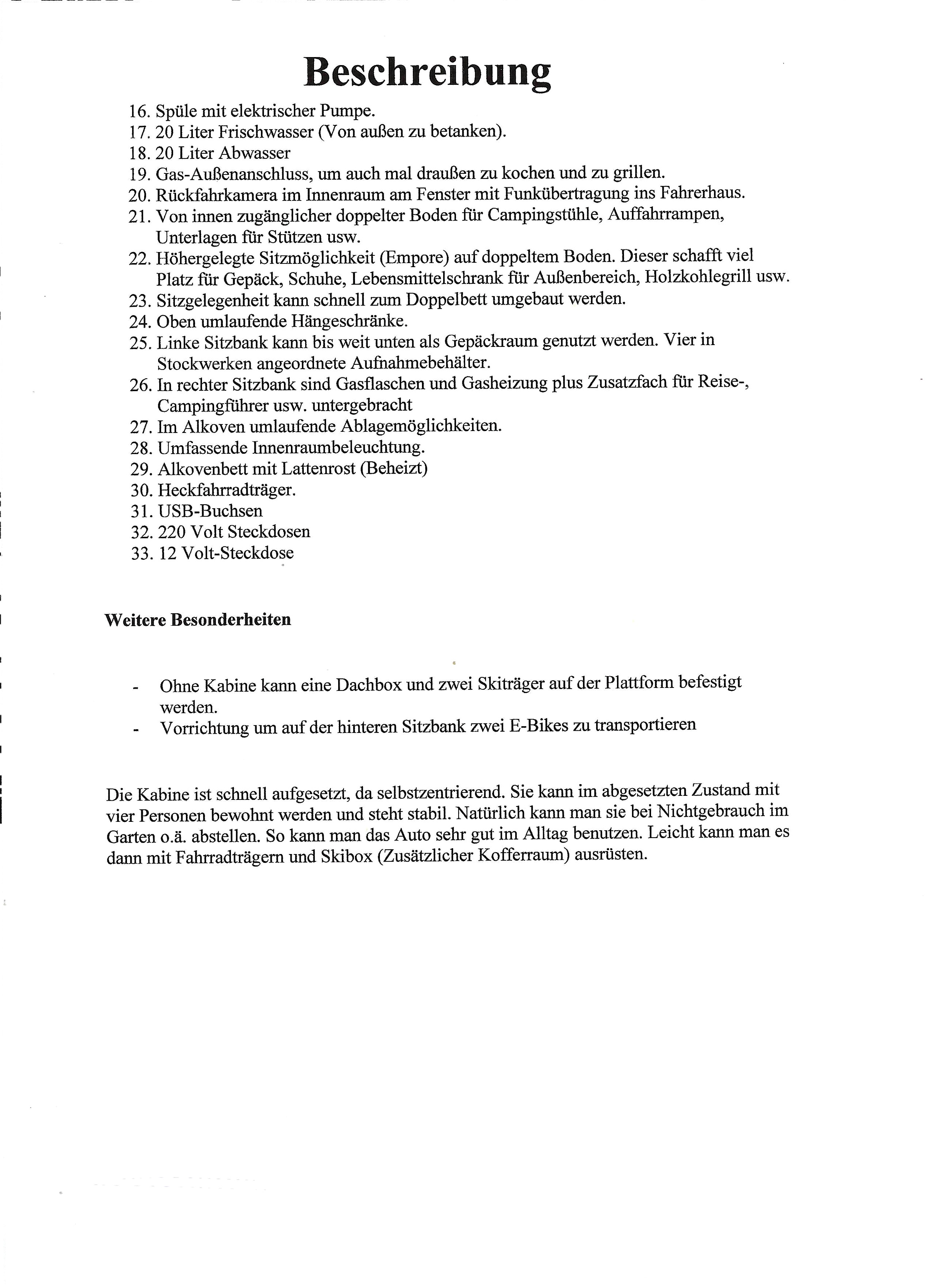
ich verkaufe aus familiären Gründen meinen geliebten VW-T5 Doppelkabine mit Absetzkabine.
Für weitere Infos und Fotos bitte den QR-Code scannen oder den unten angegebenen Link eingeben.

Mit besten Grüßen

Wolfgang
Dokument_2026-02-01_185727.jpg
Dokument_2026-02-01_190058.jpg
Dokument_2026-02-01_190213.jpg
Antworten